반응형
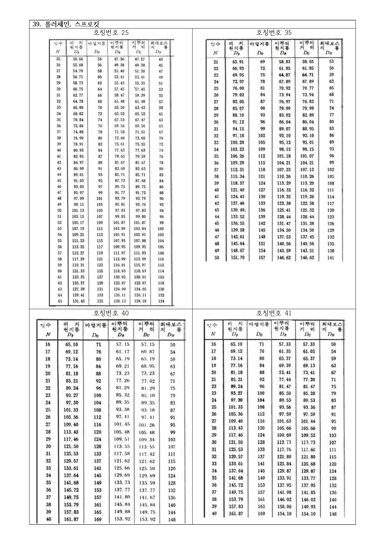
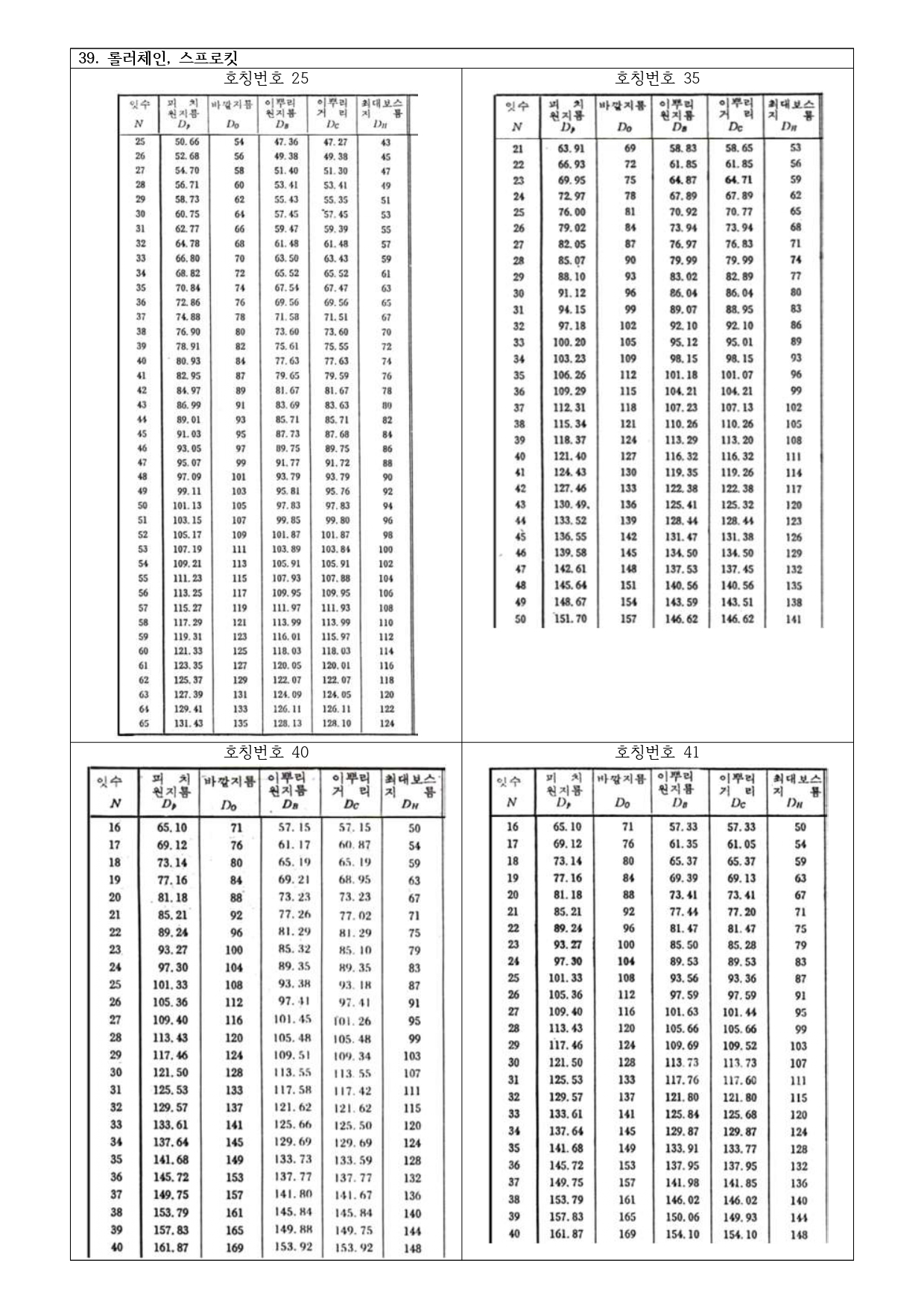
CAD 실기시험용 KS 기계제도 규격(2022년)

학부 때 캐드가 어려워 일반기계기사를 기피하는 수험생들이 꽤 많이 있습니다.
저도 굉장히 싫어했고 눈알 빠질 거 같았습니다. 하지만 피하기만 하면 아무것도 못할 거 같아서 도전했고
결국 취득하였습니다. 여러분들도 그렇게 될 수 있고 도와드리겠습니다.
항상 응원합니다.



국가기술자격 CAD 실기시험용 KS 기계제도 규격(2022년).pdf
1.45MB
마무리
일반기계기사를 준비하는 모든여러분들 응원합니다.
2022년 1회차 기사 합격률
2022년 1회차 기사 합격률 2022년 2회 실기는 현재 사전예약 중이고 1회 차 실기는 합격률이 공개되었습니다. 아래의 자료를 참고하여 2회차를 열심히 준비하길 바랍니다. 마무리 기사를 준비하시
kogaga.com
반응형
'자격증 정보 > 일반기계기사' 카테고리의 다른 글
| 기계설계 핵심 요점정리 빈칸 PDF (0) | 2022.11.09 |
|---|---|
| 기계설계 핵심 요점정리 PDF (0) | 2022.11.08 |
| 일반기계기사 기계제작법 요점정리 PDF (0) | 2022.05.28 |
| 일반기계기사 유압기기 PDF 다운로드 (0) | 2022.05.24 |
| 일반기계기사 유체역학 핵심 요점정리 PDF 다운로드 (0) | 2022.05.22 |
댓글